HSES-NODE(-OLED)技術資料
のバックアップ(No.2)
[
トップ
] [
新規
|
一覧
|
単語検索
|
最終更新
|
ヘルプ
]
バックアップ一覧
ソース
を表示
HSES-NODE(-OLED)技術資料 は削除されています。
1 (2016-12-26 (月) 18:12:53)
2 (2016-12-28 (水) 14:30:59)
3 (2017-01-23 (月) 10:57:49)
FrontPage
HSES-NODE(-OLED)技術資料
†
↑
ピン配置
†
↑
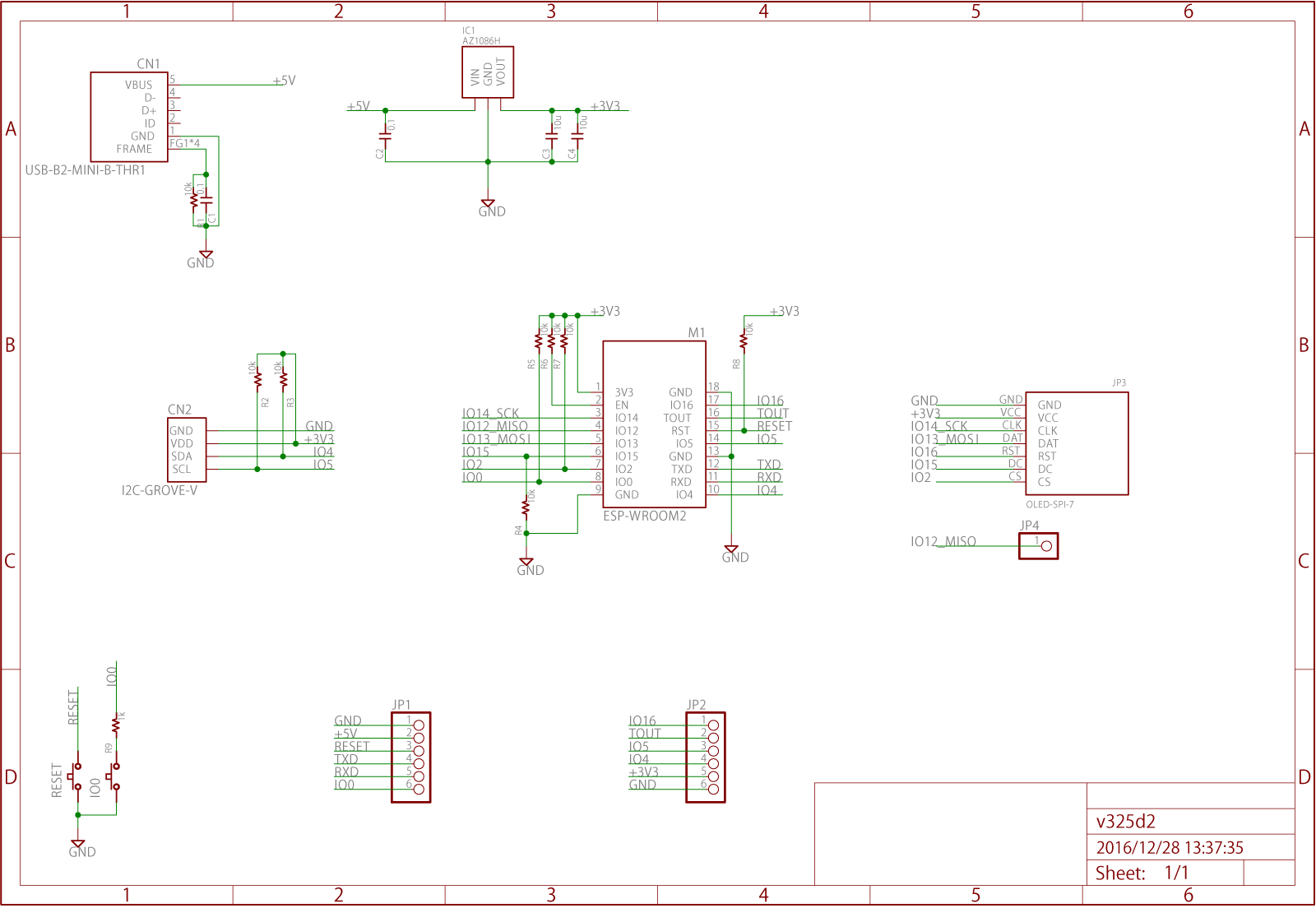
回路図
†
PDFファイル
HSES-NODE-schematic.pdf
↑
OLED情報
†
使用コントローラ
SSD1306
Adafruitの同等製品(元ネタ?)
Monochrome 0.96 128x64 OLED graphic display ID: 326 - $19.50 : Adafruit Industries, Unique & fun DIY electronics and kits
Arduinoのライブラリ
adafruit/Adafruit_SSD1306
h-nari/Humblesoft_SSD1306
Adafruitのライブラリを拡張、漢字表示機能など